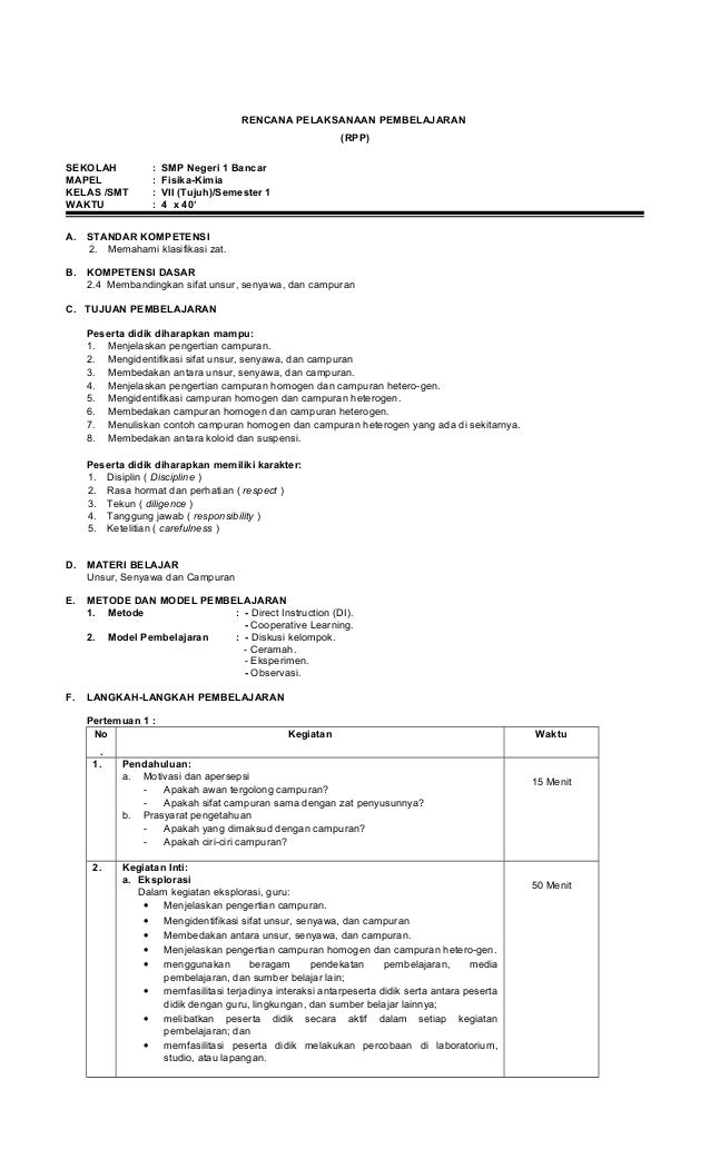
Unsur senyawa dan campuran kelas 7.
Jika kamu sedang mencari artikel unsur senyawa dan campuran kelas 7 terbaru, berarti kamu telah berada di web yang tepat. Yuk langsung aja kita simak penjelasan unsur senyawa dan campuran kelas 7 berikut ini.
 Unsur Senyawa Campuran Pengertian Sifat Contoh Perbedaan From seputarilmu.com
Unsur Senyawa Campuran Pengertian Sifat Contoh Perbedaan From seputarilmu.com
Air besi dan tembaga. PernyataanIdentifikasi Masalah Menyampaikan informasi kegiatan yang akan dilakukan yaitu diskusi dan eksperimen tentang unsur senyawa dan campuran. IPA KELAS 7 SMP BAB UNSUR SENYAWA DAN CAMPURAN A. N Ca dan Pb.
Lambang unsur nikel kalsium dan timah berturut-turut dituliskan.
Unsur Senyawa Campuran Bahan Ajar IPA kelas VII semester 1 Disusun Oleh. Unsur Senyawa Campuran Bahan Ajar IPA kelas VII semester 1 Disusun Oleh. Soal Latihan Unsur Senyawa Dan Campuran Kelas 7 Pilihan Ganda. Campuran Homogen dan Campuran Heterogen Unsur Senyawa Campuran IPA SMP Kelas 7 Semester 1 - YouTube. Bimbel Brilian berharap anda berkenan memberikan koreksi dan saran apabila ada soal-soal di atas yang perntanyaan aatau jawabannya mungkin kurang tepat agar latihan soal online yang disajikan di atas bisa menjadi lebih baik dan bagus.
 Source: vidio.com
Source: vidio.com
Senyawa yang Terbentuk dari Unsur Nonlogam-Nonlogam. 10 0 0 Loading. Latihan Soal Unsur Senyawa Campuran Kelas 7 October 9 2020 March 22 2021 mataoker Artikel Mataoker kali ini akan membahas tentang latihan soal unsur senyawa dan campuran IPA Terpadu kelas 7. Membagi siswa menjadi 5 orang per kelompok Guru memberikan bahan acuan pembelajaran berupa bahan ajar tentang unsure senyawa dan campuran serta mengarahkan siswa untuk mengkaji bahan acuan pembelajaranRPPNursidiq 2 22 322 Mengidentifikasi perbedaan unsur senyawa dan campuran. Unsur logam yang berwujud cair adalah.
Unsur logam yang berwujud cair adalah.
Unsur logam yang berwujud cair adalah. Zat yang tidak dapat dibagi lagi menjadi zat lain dengan reaksi kimia disebut a. 1 mono 2 di 3 tri 4 tetra 5 penta 6 heksa 7 hepta 8. Seng besi dan tembaga 15.
 Source: rumuspelajaran.com
Source: rumuspelajaran.com
Bahan berikut yang bersifat basa adalah. Air besi dan tembaga. Berikut ini dibagikan latihan soal IPA Unsur Senyawa Campuran kelas 7 SMP K13. Bahan berikut yang bersifat basa adalah.
 Source: slideplayer.info
Source: slideplayer.info
IPA KELAS 7 SMP BAB UNSUR SENYAWA DAN CAMPURAN A. N Ca dan Pb. Kelompok zat-zat di bawah ini yang merupakan unsur yaitu. Bahan ajar unsur-senyawa-campuran 1.
 Source: fisikazone.com
Source: fisikazone.com
CONTOH SOAL IPA KELAS 7 SMP BAB UNSUR SENYAWA DAN CAMPURAN 1. N Ca dan Pb. KONTEN HOME MATERI UNSUR SENYAWA CAMPURAN EVALUASI Apa yang. Unsur Senyawa Campuran Bahan Ajar IPA kelas VII semester 1 Disusun Oleh.
PernyataanIdentifikasi Masalah Menyampaikan informasi kegiatan yang akan dilakukan yaitu diskusi dan eksperimen tentang unsur senyawa dan campuran. Bahan ajar unsur-senyawa-campuran 1. Jumlah unsur atom pertama disebut dahulu diikuti nama unsur nonlogam pertama kemudian sebut jumlah unsur nonlogam kedua dan diikuti nama unsur nonlogam kedua dan diberi akhiran -ida Jumlah atom disebut dalam bahasa Yunani sebagai berikut. Bimbel Brilian berharap anda berkenan memberikan koreksi dan saran apabila ada soal-soal di atas yang perntanyaan aatau jawabannya mungkin kurang tepat agar latihan soal online yang disajikan di atas bisa menjadi lebih baik dan bagus.
Air besi dan tembaga.
N K dan Th. Air besi dan tembaga. If playback doesnt begin. N Ca dan Pb. Zat yang merupakan gabungan dari beberapa unsur dan sifatnya masih identik dengan sifatsifat unsur penyusunnya adalah.
 Source: fisikazone.com
Source: fisikazone.com
Membagi siswa menjadi 5 orang per kelompok Guru memberikan bahan acuan pembelajaran berupa bahan ajar tentang unsure senyawa dan campuran serta mengarahkan siswa untuk mengkaji bahan acuan pembelajaranRPPNursidiq 2 22 322 Mengidentifikasi perbedaan unsur senyawa dan campuran. Herman Mursito NIM 14708259009 2. Unsur logam yang berwujud cair adalah. Seng besi dan tembaga 15. Bahan berikut yang bersifat asam adalah.
Unsur Senyawa Campuran Homogen Campuran Heterogen Pelajaran IPA SMP MTs Kelas VII Wujud benda yang ada di alam bisa dikelompokkan menjadi 3 wujud yaitu padat cair dan gas. UNSUR SENYAWA DAN CAMPURAN Disukai Diunduh Dilihat. Ni Ca dan Sn. Seng besi dan tembaga 15.
Campuran senyawa dan unsur 13.
Zat yang tidak dapat dibagi lagi menjadi zat lain dengan reaksi kimia disebut a. 1 mono 2 di 3 tri 4 tetra 5 penta 6 heksa 7 hepta 8. PernyataanIdentifikasi Masalah Menyampaikan informasi kegiatan yang akan dilakukan yaitu diskusi dan eksperimen tentang unsur senyawa dan campuran. Unsur Senyawa Campuran Homogen Campuran Heterogen Pelajaran IPA SMP MTs Kelas VII Wujud benda yang ada di alam bisa dikelompokkan menjadi 3 wujud yaitu padat cair dan gas.
 Source: slideshare.net
Source: slideshare.net
Karbon oksigen dan hidrogen 16. Ni Ca dan Pb. Berikut ini dibagikan latihan soal IPA Unsur Senyawa Campuran kelas 7 SMP K13. N K dan Th.
 Source: slideshare.net
Source: slideshare.net
Assalamualaikum wr wbdalam video pembelajaran kali ini kita akan mempelajari materi UNSUR SENYAWA DAN CAMPURANBerdasarkan susunannya materi yang ada di al. Unsur logam yang berwujud cair adalah. UNSUR SENYAWA DAN CAMPURAN Disukai Diunduh Dilihat. CONTOH SOAL IPA KELAS 7 SMP BAB UNSUR SENYAWA DAN CAMPURAN 1.
 Source: youtube.com
Source: youtube.com
Unsur Senyawa Campuran Homogen Campuran Heterogen Pelajaran IPA SMP MTs Kelas VII Wujud benda yang ada di alam bisa dikelompokkan menjadi 3 wujud yaitu padat cair dan gas. Unsur Senyawa Campuran Bahan Ajar IPA kelas VII semester 1 Disusun Oleh. CONTOH SOAL IPA KELAS 7 SMP BAB UNSUR SENYAWA DAN CAMPURAN 1. Campuran senyawa dan unsur 13.
If playback doesnt begin.
Ilmu Pengetahuan Alam IPA Lihat RPP UNDUH RPP SALIN TAUTAN RPP. Assalamualaikum wr wbdalam video pembelajaran kali ini kita akan mempelajari materi UNSUR SENYAWA DAN CAMPURANBerdasarkan susunannya materi yang ada di al. Demikian Soal IPA Online Kelas 7 SMP Bab Unsur Senyawa dan Campuran Langsung Ada Nilainya. Soal Latihan Unsur Senyawa Dan Campuran Kelas 7 Pilihan Ganda. UNSUR SENYAWA DAN CAMPURAN Disukai Diunduh Dilihat.
 Source: slideplayer.info
Source: slideplayer.info
Ilmu Pengetahuan Alam IPA Lihat RPP UNDUH RPP SALIN TAUTAN RPP. Air besi dan tembaga. Demikian Soal IPA Online Kelas 7 SMP Bab Unsur Senyawa dan Campuran Langsung Ada Nilainya. Ilmu Pengetahuan Alam IPA Lihat RPP UNDUH RPP SALIN TAUTAN RPP. UNSUR SENYAWA DAN CAMPURAN Disukai Diunduh Dilihat.
If playback doesnt begin.
Oksigen karbon dan hidrogen 6. Tahukah teman-teman bagaimana suatu benda tersebut terbentuk. 323 Menjelaskan perbedaan campuran. RPP Unsur senyawa dan campuran kelas 7.
 Source: materikimia.com
Source: materikimia.com
Zat tunggal yang dapat diuraikan menjadi zat lain secara reaksi kimia adalah. Bahan berikut yang bersifat asam adalah. Seng besi dan tembaga 15. Bimbel Brilian berharap anda berkenan memberikan koreksi dan saran apabila ada soal-soal di atas yang perntanyaan aatau jawabannya mungkin kurang tepat agar latihan soal online yang disajikan di atas bisa menjadi lebih baik dan bagus.
 Source: fisikazone.com
Source: fisikazone.com
Berikut ini dibagikan latihan soal IPA Unsur Senyawa Campuran kelas 7 SMP K13. Unsur logam yang berwujud cair adalah. Klasifikasi Materi dan Perubahannya Zat padat Cair dan Gas Unsur Senyawa dan Campuran - Kelas 7. RPP Unsur senyawa dan campuran kelas 7.
Source: encrypted-tbn0.gstatic.com
If playback doesnt begin. Beberapa unsur bergabung menjadi suatu zat tunggal. Unsur Senyawa Campuran Homogen Campuran Heterogen Pelajaran IPA SMP MTs Kelas VII Wujud benda yang ada di alam bisa dikelompokkan menjadi 3 wujud yaitu padat cair dan gas. Senyawa yang bersifat asam akan menghasilkan.
Karbon oksigen dan hidrogen 16.
Senyawa yang Terbentuk dari Unsur Nonlogam-Nonlogam. Berikut ini dibagikan latihan soal IPA Unsur Senyawa Campuran kelas 7 SMP K13. 323 Menjelaskan perbedaan campuran. Bimbel Brilian berharap anda berkenan memberikan koreksi dan saran apabila ada soal-soal di atas yang perntanyaan aatau jawabannya mungkin kurang tepat agar latihan soal online yang disajikan di atas bisa menjadi lebih baik dan bagus. Bahan berikut yang dapat dijadikan sebagai indikator alami asam-basa adalah.
 Source: gurupaud.my.id
Source: gurupaud.my.id
323 Menjelaskan perbedaan campuran. Ni Ca dan Pb. Latihan Soal Unsur Senyawa Campuran Kelas 7 October 9 2020 March 22 2021 mataoker Artikel Mataoker kali ini akan membahas tentang latihan soal unsur senyawa dan campuran IPA Terpadu kelas 7. 323 Menjelaskan perbedaan campuran. Oksigen karbon dan hidrogen 6.
Campuran Homogen dan Campuran Heterogen Unsur Senyawa Campuran IPA SMP Kelas 7 Semester 1 - YouTube.
Campuran senyawa dan unsur 13. KONTEN HOME MATERI UNSUR SENYAWA CAMPURAN EVALUASI Apa yang. 323 Menjelaskan perbedaan campuran. Unsur Senyawa Campuran Homogen Campuran Heterogen Pelajaran IPA SMP MTs Kelas VII Wujud benda yang ada di alam bisa dikelompokkan menjadi 3 wujud yaitu padat cair dan gas.
 Source: youtube.com
Source: youtube.com
Bahan berikut yang bersifat basa adalah. Latihan Soal Unsur Senyawa Campuran Kelas 7 October 9 2020 March 22 2021 mataoker Artikel Mataoker kali ini akan membahas tentang latihan soal unsur senyawa dan campuran IPA Terpadu kelas 7. CONTOH SOAL IPA KELAS 7 SMP BAB UNSUR SENYAWA DAN CAMPURAN 1. Tahukah teman-teman bagaimana suatu benda tersebut terbentuk. Bahan ajar unsur-senyawa-campuran 1.
 Source: youtube.com
Source: youtube.com
1 mono 2 di 3 tri 4 tetra 5 penta 6 heksa 7 hepta 8. Bahan berikut yang bersifat asam adalah. Senyawa yang Terbentuk dari Unsur Nonlogam-Nonlogam. Lambang unsur nikel kalsium dan timah berturut-turut dituliskan. IPA KELAS 7 SMP BAB UNSUR SENYAWA DAN CAMPURAN A.
 Source: gurupaud.my.id
Source: gurupaud.my.id
10 0 0 Loading. Assalamualaikum wr wbdalam video pembelajaran kali ini kita akan mempelajari materi UNSUR SENYAWA DAN CAMPURANBerdasarkan susunannya materi yang ada di al. RPP Unsur senyawa dan campuran kelas 7. UNSUR SENYAWA DAN CAMPURAN Disukai Diunduh Dilihat. 24 Mei 2021 1518.
Situs ini adalah komunitas terbuka bagi pengguna untuk menuangkan apa yang mereka cari di internet, semua konten atau gambar di situs web ini hanya untuk penggunaan pribadi, sangat dilarang untuk menggunakan artikel ini untuk tujuan komersial, jika Anda adalah penulisnya dan menemukan gambar ini dibagikan tanpa izin Anda, silakan ajukan laporan DMCA kepada Kami.
Jika Anda menemukan situs ini bermanfaat, tolong dukung kami dengan membagikan postingan ini ke akun media sosial seperti Facebook, Instagram dan sebagainya atau bisa juga simpan halaman blog ini dengan judul unsur senyawa dan campuran kelas 7 dengan menggunakan Ctrl + D untuk perangkat laptop dengan sistem operasi Windows atau Command + D untuk laptop dengan sistem operasi Apple. Jika Anda menggunakan smartphone, Anda juga dapat menggunakan menu laci dari browser yang Anda gunakan. Baik itu sistem operasi Windows, Mac, iOS, atau Android, Anda tetap dapat menandai situs web ini.




