Soal spldv kelas 8 kurikulum 2013.
Jika kamu mencari artikel soal spldv kelas 8 kurikulum 2013 terbaru, berarti kamu telah berada di blog yang benar. Yuk langsung saja kita simak ulasan soal spldv kelas 8 kurikulum 2013 berikut ini.
 Kisi Kisi Penulisan Soal 8 4 4 Menggunakan Spldv Spltv Dan Sistem Pertidaksamaan Linear Dua Variabel Sptldv Untuk Menyajikan Masalah Kontekstual Dan Menjelaskan Makna Tiap Besaran Pdf Document From fdokumen.com
Kisi Kisi Penulisan Soal 8 4 4 Menggunakan Spldv Spltv Dan Sistem Pertidaksamaan Linear Dua Variabel Sptldv Untuk Menyajikan Masalah Kontekstual Dan Menjelaskan Makna Tiap Besaran Pdf Document From fdokumen.com
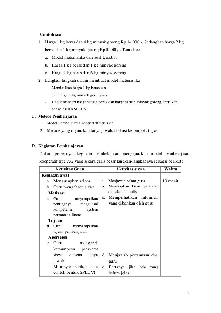
871 soal dan pembahasan spldv matematika sltp kelas 8 1. Soal PAT Bhs. Naskah Soal PAS IPS Kelas 8 Kurikulum 2013 Terbaru ini bukanlah soal bocoran melainkan soal penilaian akhir semester yang dapat bapak ibu dan peserta didik jadikan sebagai soal latihan sebalum menghadapi PAS serta referensi pembuatan soal PAS. 2015 -2016 Standar Kompetensi Kompetensi Dasar Materi Indikator Pencapaian Kompetensi Nomor Soal.
Dapatkan soal latihan Ulangan Kenaikan kelas Ujian Akhir Semester Th.
Persamaan Linear Dua Variabel. Soal UN Matematika SMPMTs 2019. Persamaan Linear Dua Variabel. Soal spldv kelas 8 kurikulum 2013. Sistem Persamaan Linier Persamaan Linear Dua Variabel Contoh Soal SPLDV Sistemnya DosenPendidikanCom Persamaan linear adalah sebuah persamaan aljabar.
Source: downloadfileguru.com
Untuk itu silahkan bisa dibaca-baca postingan ini dan jika menginginkan filenya silahkan di unduh melalui link yang sudah saya sediakan di bawah. Soal-soal matematika SMP kelas 8 kurikulum 2013. Materi Matematika Kelas 8 Kurikulum 2013 Revisi 2017 Cuci Gudang Mandiri Matematika 2 Untuk Smp Mts Kelas Viii K13n Matematika Kls 8 Spldv Soal Cerita Bilangan Soal Cerita Silabus Matematika Smp Kelas Viii Bab 4 Rpp Spldv Rangkuman. Semoga postingan kali ini bisa menjadi salah satu alternatif bagi anda yang sedang mencari RPP. Download Soal Ulangan Harian Matematika SMPMTs Kelas 8 Kurikulum 2013 dan Pembahasannya Lengkap akan kami bagikan dalam postingan kali ini.
Ind Kelas 8 Kurikulum 2013Download soal latihan Ulangan Kenaikan Kelas Ujian Akhir Semester Kelas VIII untuk mata pelajaran Bahasa Indonesia Sekolah Menengah Pertama Madrasah Tsanawiyah Semester II sesuai dengan Kurikulum 2013 Kurtilas K 13 dan disertai dengan kunci jawabannya Th.
TRIBUNPONTIANAKCOID - Berikut kita dibahas kunci jawaban contoh soal untuk latihan menghadapi Ulangan Tengah Semester UTS atau Penilaian Tengah Semester PTS pelajaran Matematika Kelas 8 SMP MTS Semester 2 Genap tahun 2021. Materi Matematika Kelas 8 Kurikulum 2013 Revisi 2017 Cuci Gudang Mandiri Matematika 2 Untuk Smp Mts Kelas Viii K13n Matematika Kls 8 Spldv Soal Cerita Bilangan Soal Cerita Silabus Matematika Smp Kelas Viii Bab 4 Rpp Spldv Rangkuman. Dapatkan soal latihan Ulangan Kenaikan kelas Ujian Akhir Semester Th. Soal Dan Kunci Jawaban Pat Bahasa Inggris Smp Kelas 8 Kurikulum 2013 Tahun Pelajaran 2018 2019 Didno76 Com 20201205 Link.
 Source: menurut-ahli-basistik.blogspot.com
Source: menurut-ahli-basistik.blogspot.com
Pendahuluan persamaan linear Menemukan Konsep Sistem Persamaan linear Dua Variabel Persamaan dan sistem persamaan linear dua variabel sudah kamu pelajari saat duduk di kelas VIII SMP. Soal ini terdiri dari 40 soal pilihan ganda dan 5 soai uraian. Kurikulum 2013 Kelas. Persamaan Linear Dua Variabel.
 Source: slideshare.net
Source: slideshare.net
BUKU SISWA KELAS 8 VIII SMP KURIKULUM 2013 EDISI REVISI 2017 - Hallo Kembali Lagi Bersama Kami Apa Kabar Sahabat BANK SOAL SEKOLAH Pada Artikel yang kita share kali ini dengan judul BUKU SISWA KELAS 8 VIII SMP KURIKULUM 2013 EDISI REVISI 2017 kali ini kami akan membagikan informasi seputar Soal - soal sekolah lengkap semoga isi postingan Pada Artikel. Naskah Soal PAS IPS Kelas 8 Kurikulum 2013 Terbaru ini bukanlah soal bocoran melainkan soal penilaian akhir semester yang dapat bapak ibu dan peserta didik jadikan sebagai soal latihan sebalum menghadapi PAS serta referensi pembuatan soal PAS. Himpunan penyelesaian persamaan 2x y 8 dengan x y bilangan cacah adalah. Download Soal dan Pembahasan Matematika UKK PAT SMP Kelas 8 Kurikulum 2013 Ulangan Kenaikan Kelas UKK atau Penilaian Akhir Tahun PAT semester genap tahun pelajaran 20192020 akan terasa sangat berbeda sejak dihentikannya KBM karena pandemi virus corona COVID-19Tentu saja hal ini akan berpengaruh kepada hasil belajar siswa-siswa sekalipun adanya kelas.
 Source: barisancontoh.blogspot.com
Source: barisancontoh.blogspot.com
Soal spldv kelas 8 kurikulum 2013. Disajikan data peserta dapat menunjukan contoh persamaan linier dua. Dapatkan soal latihan Ulangan Kenaikan kelas Ujian Akhir Semester Th. Mar 24 2021 Latihan Soal Online PAT UKK Bahasa Indonesia Kelas XI 20192020 SMAMA K13 Try Out UAS Semester Genap Selesai sudah hajatan.
Kali ini saya akan berbagai tentang contoh RPP Matematika SMPMTs Kelas 8 Kurikulum 2013. Soal PAT Matematika Kelas 8 Kurikulum 2013Soal UKK UAS Matematika Kelas 8 SMP Mts Semester 2 Genap Kurikulum 2013. Download Soal dan Pembahasan Matematika UKK PAT SMP Kelas 8 Kurikulum 2013 Ulangan Kenaikan Kelas UKK atau Penilaian Akhir Tahun PAT semester genap tahun pelajaran 20192020 akan terasa sangat berbeda sejak dihentikannya KBM karena pandemi virus corona COVID-19Tentu saja hal ini akan berpengaruh kepada hasil belajar siswa-siswa sekalipun adanya kelas. Latihan Soal Cerita SPLDV Sistem Persamaan Linear Dua Variabel Matematika Kelas 8 Kurikulum 2013 dan Pembahasannya - merupakan file latihan soal terbaru yang akan saya bagikan pada kesempatan kali ini.
Persamaan Linear Dua Variabel.
Persamaan Linear Dua Variabel. Semoga postingan kali ini bisa menjadi salah satu alternatif bagi anda yang sedang mencari RPP. Latihan Soal Cerita SPLDV Sistem Persamaan Linear Dua Variabel Matematika Kelas 8 Kurikulum 2013 dan Pembahasannya - merupakan file latihan soal terbaru yang akan saya bagikan pada kesempatan kali ini. Oleh dosenpendidikan Diposting pada 23012021. 2 dua Genap Alokasi waktu.
 Source: menurut-ahli-basistik.blogspot.com
Source: menurut-ahli-basistik.blogspot.com
Begitu juga dengan contoh model soal Penilaian Akhir Semester PAT Semester 2 Genap Kurikulum 2013 Kelas 7 VII Kelas 8 VIII Kelas. 2021 Mata Pelajaran Matematika Kelas VIII Sekolah Menengah Pertama Madrasah Tsanawiyah Semester 2 Genap Sesuai dengan Kurikulum 2013 Kurtilas K 13 yang dilengkapi. Oleh dosenpendidikan Diposting pada 23012021. Hide 1 Soal PKN Kelas 8. Kurikulum 2013 Kelas.
Hide 1 Soal PKN Kelas 8. Para siswa dan guru Kelas 8 SMPMTS Kurikulum 2013 dan Kelas 9 SMPMTs KTSP dapat memanfaatkannya sebagai bahan latihan. Disajikan data peserta dapat menunjukan contoh persamaan linier dua. Artikel ini berisi kumpulan Soal Ulangan Harian Penilaian Harian Matematika untuk jenjang SMPMTs Kelas 8yakni tentang Pola bilangan Sisten Koordinat Relasi dan Fungsi Persamaan Garis Lurus dan SPLDV untuk semester 1 Kurikulum 2013.
Himpunan penyelesaian persamaan 2x y 8 dengan x y bilangan cacah adalah.
Soal PAT PKn Kelas 8 Kurikulum 2013Soal UKK UAS PKn Kelas 8 SMP MTs Semester 2 Kurikulum 2013. Download Soal Ulangan Harian Matematika SMPMTs Kelas 8 Kurikulum 2013 dan Pembahasannya Lengkap akan kami bagikan dalam postingan kali ini. Persamaan Linear Dua Variabel. Dapatkan Soal Latihan Ulangan Kenaikan Kelas Ujian Akhir Semester Th.
 Source: revisisekolah.blogspot.com
Source: revisisekolah.blogspot.com
BUKU SISWA KELAS 8 VIII SMP KURIKULUM 2013 EDISI REVISI 2017 - Hallo Kembali Lagi Bersama Kami Apa Kabar Sahabat BANK SOAL SEKOLAH Pada Artikel yang kita share kali ini dengan judul BUKU SISWA KELAS 8 VIII SMP KURIKULUM 2013 EDISI REVISI 2017 kali ini kami akan membagikan informasi seputar Soal - soal sekolah lengkap semoga isi postingan Pada Artikel. Kali ini saya akan berbagai tentang contoh RPP Matematika SMPMTs Kelas 8 Kurikulum 2013. Para siswa dan guru Kelas 8 SMPMTS Kurikulum 2013 dan Kelas 9 SMPMTs KTSP dapat memanfaatkannya sebagai bahan latihan. 2021 Mata Pelajaran Matematika Kelas VIII Sekolah Menengah Pertama Madrasah Tsanawiyah Semester 2 Genap Sesuai dengan Kurikulum 2013 Kurtilas K 13 yang dilengkapi.
 Source: slideshare.net
Source: slideshare.net
Persamaan Linear Dua Variabel. Untuk itu silahkan bisa dibaca-baca postingan ini dan jika menginginkan filenya silahkan di unduh melalui link yang sudah saya sediakan di bawah. Begitu juga dengan contoh model soal Penilaian Akhir Semester PAT Semester 2 Genap Kurikulum 2013 Kelas 7 VII Kelas 8 VIII Kelas. SOAL ULANGAN HARIAN SISTEM PERSAMAAN LINEAR DUA VARIABEL SPLDV SMPMTS KELAS 8 KURIKULUM 2013 DAN PEMBAHASANNYA ini merupakan contoh soal terbaru yang akan saya bagikan bagi BapakIbu yang mengampu mata pelajaran Matematika Kelas 8 SMPMTs yang telah menerapkan Kurikulum 2013.
 Source: gurupaud.my.id
Source: gurupaud.my.id
Oleh dosenpendidikan Diposting pada 23012021. Oleh dosenpendidikan Diposting pada 23012021. 2015 -2016 Standar Kompetensi Kompetensi Dasar Materi Indikator Pencapaian Kompetensi Nomor Soal. Soal ini terdiri dari 40 soal pilihan ganda dan 5 soai uraian.
Soal PAT Matematika Kelas 8 Kurikulum 2013Soal UKK UAS Matematika Kelas 8 SMP Mts Semester 2 Genap Kurikulum 2013.
2013 Pilihlah salah satu jawaban yang paling tepat dengan memberi tanda silang pada huruf a b c atau d pada lembar jawaban yang disediakan. 2021 mata pelajaran Pendidikan Kewarganegaraan Kelas VIII Sekolah Menengah Pertama Madrasah Tsanawiyah Semester Genap Kurikulum 2013 Kurtilas K 13 Plus kunci jawabannya. Oleh dosenpendidikan Diposting pada 23012021. Persamaan Linear Dua Variabel adalah kalimat terbuka yang. Soal Dan Kunci Jawaban Pat Bahasa Inggris Smp Kelas 8 Kurikulum 2013 Tahun Pelajaran 2018 2019 Didno76 Com 20201205 Link.
 Source: terupdatebocoransoal.blogspot.com
Source: terupdatebocoransoal.blogspot.com
Sistem Persamaan Linier Persamaan Linear Dua Variabel Contoh Soal SPLDV Sistemnya DosenPendidikanCom Persamaan linear adalah sebuah persamaan aljabar. Dapatkan soal latihan Ulangan Kenaikan kelas Ujian Akhir Semester Th. 871 soal dan pembahasan spldv matematika sltp kelas 8 1. Artikel ini berisi kumpulan Soal Ulangan Harian Penilaian Harian Matematika untuk jenjang SMPMTs Kelas 8yakni tentang Pola bilangan Sisten Koordinat Relasi dan Fungsi Persamaan Garis Lurus dan SPLDV untuk semester 1 Kurikulum 2013. 2013 Pilihlah salah satu jawaban yang paling tepat dengan memberi tanda silang pada huruf a b c atau d pada lembar jawaban yang disediakan.
Persamaan Linear Dua Variabel.
SOAL UTS Matematika Kelas 8 SMP Semester 2 Kurikulum 2013 dan Kunci Jawaban Ulangan Tengah Semester. 90 menit Jumlah Soal. Begitu juga dengan contoh model soal Penilaian Akhir Semester PAT Semester 2 Genap Kurikulum 2013 Kelas 7 VII Kelas 8 VIII Kelas. SOAL UTS Matematika Kelas 8 SMP Semester 2 Kurikulum 2013 dan Kunci Jawaban Ulangan Tengah Semester.
 Source: slideshare.net
Source: slideshare.net
Begitu juga dengan contoh model soal Penilaian Akhir Semester PAT Semester 2 Genap Kurikulum 2013 Kelas 7 VII Kelas 8 VIII Kelas. Download Soal dan Pembahasan Matematika UKK PAT SMP Kelas 8 Kurikulum 2013 Ulangan Kenaikan Kelas UKK atau Penilaian Akhir Tahun PAT semester genap tahun pelajaran 20192020 akan terasa sangat berbeda sejak dihentikannya KBM karena pandemi virus corona COVID-19Tentu saja hal ini akan berpengaruh kepada hasil belajar siswa-siswa sekalipun adanya kelas. Sebuah ΔPQR siku-siku di Q. Soal-soal matematika SMP kelas 8 kurikulum 2013.
 Source: revisisekolah.blogspot.com
Source: revisisekolah.blogspot.com
Sebuah ΔPQR siku-siku di Q. Soal PAT PKn Kelas 8 Kurikulum 2013Soal UKK UAS PKn Kelas 8 SMP MTs Semester 2 Kurikulum 2013. 90 menit Jumlah Soal. SOAL ULANGAN HARIAN SISTEM PERSAMAAN LINEAR DUA VARIABEL SPLDV SMPMTS KELAS 8 KURIKULUM 2013 DAN PEMBAHASANNYA ini merupakan contoh soal terbaru yang akan saya bagikan bagi BapakIbu yang mengampu mata pelajaran Matematika Kelas 8 SMPMTs yang telah menerapkan Kurikulum 2013.
 Source: detiks.github.io
Source: detiks.github.io
Latihan Soal Cerita SPLDV Sistem Persamaan Linear Dua Variabel Matematika Kelas 8 Kurikulum 2013 dan Pembahasannya - merupakan file latihan soal terbaru yang akan saya bagikan pada kesempatan kali ini. 2013 Pilihlah salah satu jawaban yang paling tepat dengan memberi tanda silang pada huruf a b c atau d pada lembar jawaban yang disediakan. Soal Dan Kunci Jawaban Pat Bahasa Inggris Smp Kelas 8 Kurikulum 2013 Tahun Pelajaran 2018 2019 Didno76 Com 20201205 Link. Soal PAT PKn Kelas 8 Kurikulum 2013Soal UKK UAS PKn Kelas 8 SMP MTs Semester 2 Kurikulum 2013.
Artikel ini berisi kumpulan Soal Ulangan Harian Penilaian Harian Matematika untuk jenjang SMPMTs Kelas 8yakni tentang Pola bilangan Sisten Koordinat Relasi dan Fungsi Persamaan Garis Lurus dan SPLDV untuk semester 1 Kurikulum 2013.
Sistem Persamaan Linier Persamaan Linear Dua Variabel Contoh Soal SPLDV Sistemnya DosenPendidikanCom Persamaan linear adalah sebuah persamaan aljabar. Kumpulan Kisi Kisi UKK UAS SMP Kelas 8 Semester 2 Kurikulum 2013 Kumpulan Kisi Kisi UKK UAS SMP Kelas 8 Semester 2 KTSP Indikator Soal. Materi Matematika Kelas 8 Kurikulum 2013 Revisi 2017 Cuci Gudang Mandiri Matematika 2 Untuk Smp Mts Kelas Viii K13n Matematika Kls 8 Spldv Soal Cerita Bilangan Soal Cerita Silabus Matematika Smp Kelas Viii Bab 4 Rpp Spldv Rangkuman. Para siswa dan guru Kelas 8 SMPMTS Kurikulum 2013 dan Kelas 9 SMPMTs KTSP dapat memanfaatkannya sebagai bahan latihan. Soal UN Matematika SMPMTs 2019.
 Source: menurut-ahli-basistik.blogspot.com
Source: menurut-ahli-basistik.blogspot.com
50 Pilihan Ganda PG Kisi Kisi SMP lainnya. Sistem Persamaan Linier Persamaan Linear Dua Variabel Contoh Soal SPLDV Sistemnya DosenPendidikanCom Persamaan linear adalah sebuah persamaan aljabar. SOAL UTS Matematika Kelas 8 SMP Semester 2 Kurikulum 2013 dan Kunci Jawaban Ulangan Tengah Semester. Soal UN Matematika SMPMTs 2019. Soal PAT Bhs.
2015 -2016 Standar Kompetensi Kompetensi Dasar Materi Indikator Pencapaian Kompetensi Nomor Soal.
SOAL UTS Matematika Kelas 8 SMP Semester 2 Kurikulum 2013 dan Kunci Jawaban Ulangan Tengah Semester. Kumpulan Kisi Kisi UKK UAS SMP Kelas 8 Semester 2 Kurikulum 2013 Kumpulan Kisi Kisi UKK UAS SMP Kelas 8 Semester 2 KTSP Indikator Soal. SOAL UTS Matematika Kelas 8 SMP Semester 2 Kurikulum 2013 dan Kunci Jawaban Ulangan Tengah Semester. Mar 24 2021 Latihan Soal Online PAT UKK Bahasa Indonesia Kelas XI 20192020 SMAMA K13 Try Out UAS Semester Genap Selesai sudah hajatan.
 Source: slideshare.net
Source: slideshare.net
Artikel ini berisi kumpulan Soal Ulangan Harian Penilaian Harian Matematika untuk jenjang SMPMTs Kelas 8yakni tentang Pola bilangan Sisten Koordinat Relasi dan Fungsi Persamaan Garis Lurus dan SPLDV untuk semester 1 Kurikulum 2013. Soal Dan Kunci Jawaban Pat Bahasa Inggris Smp Kelas 8 Kurikulum 2013 Tahun Pelajaran 2018 2019 Didno76 Com 20201205 Link. 871 soal dan pembahasan spldv matematika sltp kelas 8 1. Ind Kelas 8 Kurikulum 2013Download soal latihan Ulangan Kenaikan Kelas Ujian Akhir Semester Kelas VIII untuk mata pelajaran Bahasa Indonesia Sekolah Menengah Pertama Madrasah Tsanawiyah Semester II sesuai dengan Kurikulum 2013 Kurtilas K 13 dan disertai dengan kunci jawabannya Th. Oleh dosenpendidikan Diposting pada 23012021.
 Source: slideshare.net
Source: slideshare.net
BUKU SISWA KELAS 8 VIII SMP KURIKULUM 2013 EDISI REVISI 2017 - Hallo Kembali Lagi Bersama Kami Apa Kabar Sahabat BANK SOAL SEKOLAH Pada Artikel yang kita share kali ini dengan judul BUKU SISWA KELAS 8 VIII SMP KURIKULUM 2013 EDISI REVISI 2017 kali ini kami akan membagikan informasi seputar Soal - soal sekolah lengkap semoga isi postingan Pada Artikel. Disajikan data peserta dapat menunjukan contoh persamaan linier dua. 2021 mata pelajaran Pendidikan Kewarganegaraan Kelas VIII Sekolah Menengah Pertama Madrasah Tsanawiyah Semester Genap Kurikulum 2013 Kurtilas K 13 Plus kunci jawabannya. Himpunan penyelesaian persamaan 2x y 8 dengan x y bilangan cacah adalah. Dalam sebuah tempat parkir terdapat 90 kendaraan yang terdiri dari mobil beroda 4 dan sepeda motor beroda 2.
 Source: barisancontoh.blogspot.com
Source: barisancontoh.blogspot.com
Sebuah ΔPQR siku-siku di Q. Kumpulan Kisi Kisi UKK UAS SMP Kelas 8 Semester 2 Kurikulum 2013 Kumpulan Kisi Kisi UKK UAS SMP Kelas 8 Semester 2 KTSP Indikator Soal. Latihan Soal Cerita SPLDV Sistem Persamaan Linear Dua Variabel Matematika Kelas 8 Kurikulum 2013 dan Pembahasannya - merupakan file latihan soal terbaru yang akan saya bagikan pada kesempatan kali ini. Dapatkan soal latihan Ulangan Kenaikan kelas Ujian Akhir Semester Th. Dalam sebuah tempat parkir terdapat 90 kendaraan yang terdiri dari mobil beroda 4 dan sepeda motor beroda 2.
Situs ini adalah komunitas terbuka bagi pengguna untuk berbagi apa yang mereka cari di internet, semua konten atau gambar di situs web ini hanya untuk penggunaan pribadi, sangat dilarang untuk menggunakan artikel ini untuk tujuan komersial, jika Anda adalah penulisnya dan menemukan gambar ini dibagikan tanpa izin Anda, silakan ajukan laporan DMCA kepada Kami.
Jika Anda menemukan situs ini bermanfaat, tolong dukung kami dengan membagikan postingan ini ke akun media sosial seperti Facebook, Instagram dan sebagainya atau bisa juga save halaman blog ini dengan judul soal spldv kelas 8 kurikulum 2013 dengan menggunakan Ctrl + D untuk perangkat laptop dengan sistem operasi Windows atau Command + D untuk laptop dengan sistem operasi Apple. Jika Anda menggunakan smartphone, Anda juga dapat menggunakan menu laci dari browser yang Anda gunakan. Baik itu sistem operasi Windows, Mac, iOS, atau Android, Anda tetap dapat menandai situs web ini.





