Contoh polimer alam dan polimer sintetis.
Jika kamu mencari artikel contoh polimer alam dan polimer sintetis terbaru, berarti kamu sudah berada di blog yang benar. Yuk langsung aja kita simak pembahasan contoh polimer alam dan polimer sintetis berikut ini.
 Polimer Sintetik From slideshare.net
Polimer Sintetik From slideshare.net
Pada contoh di atas monomer-monomer etena bereaksi polimerisasi membentuk polietena. Polimer alami terjadi di alam dan dapat diekstraksi. Contoh polimer yang cukup terkenal yaitu plastik DNA aspal dan lain-lain. Contoh polimer yang terjadi secara alami adalah sutra wol DNA selulosa dan protein.
Mereka sering berbasis air.
Elastomer Polimer yang boleh kembali ke keadaan asal apabila diregang atau ditekan. Modifikasi polimer alam. Polimer sintetik tidak terjadi secara alami. Selulosa sendiri merupakan polisakarida yang banyak dijumpai dalam dinding sel tanaman. Berdasarkan asalnya polimer dibedakan menjadi polimer alam dan polimer sintetis.
 Source: slideshare.net
Source: slideshare.net
Selulosa tersusun dari rantai-rantai lurus molekul. Alami polimer seperti kapas pati dan karet bahan akrab selama bertahun-tahun sebelum polimer sintetis seperti polyethene dan perspex muncul di pasar. Elastomer Polimer yang boleh kembali ke keadaan asal apabila diregang atau ditekan. Contoh sederhana polimer alam adalah karet alam pati selulosa dan protein. Contoh yang terkenal pada polimer yaitu plastik dan DNA.
Polimer alami dihasilkan dari proses biologis.
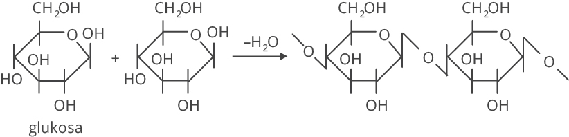
Ada dua jenis polimer. Selulosa tersusun dari rantai-rantai lurus molekul. Selulosa adalah polimer yang terbentuk dari monomer β D glukosa melalui ikatan β 1 4 glikosidik. Perbedaan selulosa dan glikogen.
 Source: slideplayer.info
Source: slideplayer.info
Sebagian besar polimer alami. Modifikasi polimer alam. Contoh sederhana polimer alam adalah karet alam pati selulosa dan protein. Jumlahnya yang terbatas dan sifat polimer alam yang kurang stabil mudah menyerap air tidak stabil karena pemanasan dan sukar dibentuk menyebabkan penggunaanya amat.
 Source: perbedaan.budisma.net
Source: perbedaan.budisma.net
Polimer sendiri ada dua jenis yaitu polimer alam dan polimer sintesis. Akan tetapi sejak hampir seratus tahun yang lalu peran polimer alam telah digantikan oleh polimer sintetis. Polimer sintetik berasal dari minyak bumi dan dibuat oleh para ilmuwan dan insinyur. Polimer alam telah dikenal dan digunakan sejak jaman dulu.
 Source: smkberdikarijember.wordpress.com
Source: smkberdikarijember.wordpress.com
Selulosa sendiri merupakan polisakarida yang banyak dijumpai dalam dinding sel tanaman. Polimer alami dihasilkan dari proses biologis. Modifikasi polimer alam. Polimer alam telah dikenal dan digunakan sejak jaman dulu.
Pada contoh di atas monomer-monomer etena bereaksi polimerisasi membentuk polietena. Contoh polimer sintetis adalah polietena PVC polipropena teflon polibutadiena nilon dakron dan polivinil alkohol. Ada dua jenis polimer. Polimer alam telah dikenal dan digunakan sejak jaman dulu.
Polimer sintetik dihasilkan dari proses kimia.
Gentian Polimer panjang yg boleh diregangkan Contoh gentian- poliamida nilon terilena phenol-formaldehyde PF acrylic polymers 18. Jumlahnya yang terbatas dan sifat polimer alam yang kurang stabil mudah menyerap air tidak stabil karena pemanasan dan sukar dibentuk menyebabkan penggunaanya amat. Polimer alami dihasilkan dari proses biologis. Polimer sintetik tidak terjadi secara alami. Modifikasi polimer alam.
Source: sites.google.com
Panjang rantai beragam dari ratusan sampai ribuan unit glukosa. Selulosa tersusun dari rantai-rantai lurus molekul. Alami polimer seperti kapas pati dan karet bahan akrab selama bertahun-tahun sebelum polimer sintetis seperti polyethene dan perspex muncul di pasar. Gentian Polimer panjang yg boleh diregangkan Contoh gentian- poliamida nilon terilena phenol-formaldehyde PF acrylic polymers 18. Polimer alami dihasilkan dari proses biologis.
Elastomer Polimer yang boleh kembali ke keadaan asal apabila diregang atau ditekan. Untuk mengetahui mengenai pengertian masing-masing jenis polimer simak uraian berikut. Selulosa adalah polimer yang terbentuk dari monomer β D glukosa melalui ikatan β 1 4 glikosidik. Pada contoh di atas monomer-monomer etena bereaksi polimerisasi membentuk polietena.
Berdasarkan asalnya polimer dibedakan menjadi polimer alam dan polimer sintetis.
Demikian penjelasan singkat dari tentang Pengertian polimer sintetis. Polimer berasal dari 2 kata yakni poly dan meros atau bisa disebut merupakan sejumlah molekul besar yang terdiri dengan unit unit berulang yaitu monomer. Contoh polimer yang terjadi secara alami adalah sutra wol DNA selulosa dan protein. Contoh polimer alam adalah protein amilum selulosa glikogen wol dan sutra.
 Source: docplayer.info
Source: docplayer.info
Untuk mengetahui mengenai pengertian masing-masing jenis polimer simak uraian berikut. Contoh polimer yang terjadi secara alami adalah sutra wol DNA selulosa dan protein. Sebagian besar polimer alami. Berdasarkan asalnya polimer dibedakan menjadi polimer alam dan polimer sintetis.
Source: encrypted-tbn0.gstatic.com
Alami polimer seperti kapas pati dan karet bahan akrab selama bertahun-tahun sebelum polimer sintetis seperti polyethene dan perspex muncul di pasar. Polimer Alam Terdapat dialam. Contoh polimer alam adalah protein amilum selulosa glikogen wol dan sutra. Contoh polimer sintetis adalah plastik SBR saran dan polibuladiena.
Source: sites.google.com
Contoh polimer sintetik meliputi nilon polietilen poliester Teflon dan epoksi. Polimer alami dihasilkan dari proses biologis. Contoh polimer sintetis adalah plastik SBR saran dan polibuladiena. Selulosa sendiri merupakan polisakarida yang banyak dijumpai dalam dinding sel tanaman.
Banyak polimer komersial penting disintesis oleh modifikasi kimia polimer alami.
Contoh polimer yang terjadi secara alami adalah sutra wol DNA selulosa dan protein. Contoh sederhana polimer alam adalah karet alam pati selulosa dan protein. Contoh menonjol termasuk reaksi asam nitrat dan selulosa untuk membentuk. Selulosa sendiri merupakan polisakarida yang banyak dijumpai dalam dinding sel tanaman. Polimer sintetik tidak terjadi secara alami.
 Source: riyaastoryline.wordpress.com
Source: riyaastoryline.wordpress.com
Polimer berasal dari 2 kata yakni poly dan meros atau bisa disebut merupakan sejumlah molekul besar yang terdiri dengan unit unit berulang yaitu monomer. Banyak polimer komersial penting disintesis oleh modifikasi kimia polimer alami. Polimer berasal dari 2 kata yakni poly dan meros atau bisa disebut merupakan sejumlah molekul besar yang terdiri dengan unit unit berulang yaitu monomer. Contoh menonjol termasuk reaksi asam nitrat dan selulosa untuk membentuk. Untuk mengetahui mengenai pengertian masing-masing jenis polimer simak uraian berikut.
Mereka sering berbasis air.
Contoh elastomer - Styrene-butadiene rubberSBR Poli isoprena IR Poli butadiena BR Chloroprene Rubber CR. Contoh polimer alam adalah karbohidrat protein karet alam asam nukleat dan ensim. Panjang rantai beragam dari ratusan sampai ribuan unit glukosa. Jumlahnya yang terbatas dan sifat polimer alam yang kurang stabil mudah menyerap air tidak stabil karena pemanasan dan sukar dibentuk menyebabkan penggunaanya amat.
 Source: slideplayer.info
Source: slideplayer.info
Polimer alami dihasilkan dari proses biologis. Polimer berasal dari 2 kata yakni poly dan meros atau bisa disebut merupakan sejumlah molekul besar yang terdiri dengan unit unit berulang yaitu monomer. Banyak polimer komersial penting disintesis oleh modifikasi kimia polimer alami. Panjang rantai beragam dari ratusan sampai ribuan unit glukosa.
Source: makromolekul.blogspot.com
Mereka sering berbasis air. Polimer sintetik tidak terjadi secara alami. Elastomer Polimer yang boleh kembali ke keadaan asal apabila diregang atau ditekan. Polimer alam adalah polimer yang telah tersedia di alam dan terbentuk secara alami.
 Source: myrightspot.com
Source: myrightspot.com
Sekalipun biasanya adalah sebuah organik kemudian ada juga banyak polimer inorganik. Modifikasi polimer alam. â D glukosa yang terikat dengan ikatan glikosida â. Polimer alam telah dikenal dan digunakan sejak jaman dulu.
Dalam contoh di atas monomer-monomer etena bereaksi polimerisasi membentuk polietena.
Polimer alam telah dikenal dan digunakan sejak jaman dulu. Polimer sintetik dihasilkan dari proses kimia. Polimer sintetik berasal dari minyak bumi dan dibuat oleh para ilmuwan dan insinyur. Polimer alami dihasilkan dari proses biologis. Berdasarkan asalnya polimer dibedakan menjadi polimer alam dan polimer sintetis.
 Source: docplayer.info
Source: docplayer.info
Contoh polimer yang terjadi secara alami adalah sutra wol DNA selulosa dan protein. â D glukosa yang terikat dengan ikatan glikosida â. Contoh sederhana polimer alam adalah karet alam pati selulosa dan protein. Akan tetapi sejak hampir seratus tahun yang lalu peran polimer alam telah digantikan oleh polimer sintetis. Selulosa tersusun dari rantai-rantai lurus molekul.
Contoh sederhana polimer alam adalah karet alam pati selulosa dan protein.
Polimer alam telah dikenal dan digunakan sejak jaman dulu. Contoh polimer sintetik meliputi nilon polietilen poliester Teflon dan epoksi. Jumlahnya yang terbatas dan sifat polimer alam yang kurang stabil mudah menyerap air tidak stabil karena pemanasan dan sukar dibentuk menyebabkan penggunaanya amat. Untuk mengetahui mengenai pengertian masing-masing jenis polimer simak uraian berikut.
 Source: ardra.biz
Source: ardra.biz
Mereka sering berbasis air. Dalam contoh di atas monomer-monomer etena bereaksi polimerisasi membentuk polietena. â D glukosa yang terikat dengan ikatan glikosida â. Polimer organik yang terjadi secara alamiah seperti amilum selulosa dan protein disebut juga polimer alam biopolymer. Polimer Alam Terdapat dialam.
 Source: dictio.id
Source: dictio.id
Berdasarkan asalnya polimer dibedakan menjadi polimer alam dan polimer sintetis. Elastomer Polimer yang boleh kembali ke keadaan asal apabila diregang atau ditekan. Berdasarkan asalnya polimer dibedakan menjadi polimer alam dan polimer sintetis. Jumlahnya yang terbatas dan sifat polimer alam yang kurang stabil mudah menyerap air tidak stabil karena pemanasan dan sukar dibentuk menyebabkan penggunaanya amat. Polimer berasal dari 2 kata yakni poly dan meros atau bisa disebut merupakan sejumlah molekul besar yang terdiri dengan unit unit berulang yaitu monomer.
 Source: smkberdikarijember.wordpress.com
Source: smkberdikarijember.wordpress.com
Untuk mengetahui mengenai pengertian masing-masing jenis polimer simak uraian berikut. Sebagian besar polimer alami. â D glukosa yang terikat dengan ikatan glikosida â. Contoh polimer sintetis adalah plastik SBR saran dan polibuladiena. Jumlahnya yang terbatas dan sifat polimer alam yang kurang stabil mudah menyerap air tidak stabil karena pemanasan dan sukar dibentuk menyebabkan penggunaanya amat.
Situs ini adalah komunitas terbuka bagi pengguna untuk membagikan apa yang mereka cari di internet, semua konten atau gambar di situs web ini hanya untuk penggunaan pribadi, sangat dilarang untuk menggunakan artikel ini untuk tujuan komersial, jika Anda adalah penulisnya dan menemukan gambar ini dibagikan tanpa izin Anda, silakan ajukan laporan DMCA kepada Kami.
Jika Anda menemukan situs ini lengkap, tolong dukung kami dengan membagikan postingan ini ke akun media sosial seperti Facebook, Instagram dan sebagainya atau bisa juga save halaman blog ini dengan judul contoh polimer alam dan polimer sintetis dengan menggunakan Ctrl + D untuk perangkat laptop dengan sistem operasi Windows atau Command + D untuk laptop dengan sistem operasi Apple. Jika Anda menggunakan smartphone, Anda juga dapat menggunakan menu laci dari browser yang Anda gunakan. Baik itu sistem operasi Windows, Mac, iOS, atau Android, Anda tetap dapat menandai situs web ini.




