Cara menghitung standar deviasi data berkelompok.
Jika kamu mencari artikel cara menghitung standar deviasi data berkelompok terbaru, berarti kamu sudah berada di blog yang tepat. Yuk langsung aja kita simak ulasan cara menghitung standar deviasi data berkelompok berikut ini.
7 Simpangan Baku Atau Standar Deviasi From slideshare.net
Standar deviasi adalah nilai yang digunakan untuk mengetahui sebaran data dalam sampel yang mana menyajikan hubungan seberapa dekat data individu dengan nilai rata-ratanya. Cara Menghitung Standar Deviasi Data Berkelompok. Kali ini membahas khusus tentang ukuran pemusatan data ukuran letak data dan uk. Berikut adalah varian dan standar deviasi untuk data berkelompok.
Cara Menghitung Standar Deviasi Berkelompok Selain untuk menghitung data yang bersifat tunggal juga terdapat rumus varian dan standar deviasi.
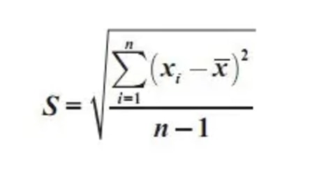
Simpangan Baku Deviasi Standar Simpangan Rata. Standar deviasi adalah nilai yang digunakan untuk mengetahui sebaran data dalam sampel yang mana menyajikan hubungan seberapa dekat data individu dengan nilai rata-ratanya. Data berkelompok rumus standar deviasi data berkelompok cara menghitung standar deviasi dengan kalkulator cara menghitung standar deviasi di excel rumus untuk menghitung di excel adalah stdev sebagai gambaran silakan simak contoh di bawah ini. A Deviasi Untuk Data Tidak Berkelompok. Rumus Varian beginaligned s2 frac1n-1sum_i1kf_ileft x_i-bar x right 2 fracdisplaystyle sum_.
Source: pinterpandai.com
Deviasicara menghitung variasi wikihow may 13th 2018 - varians yang rendah menandakan data yang berkelompok dekat satu cara menghitung nilai ini biasanya dipakai sebagai dasar untuk menghitung standar deviasi. CARA MUDAH MENCARI RANGE DEVIASI VARIAN STANDAR DEVIASI DATA KELOMPOK DENGAN EXCEL - YouTube. Rumus Varian beginaligned s2 frac1n-1sum_i1kf_ileft x_i-bar x right 2 fracdisplaystyle sum_. Selain dengan cara manual kalian juga bisa memanfaatkan kalkulator untuk menghitungnya. Rumus Deviasi untuk data tidak berkelompok adalah sebagai berikut.
Rumus Varian Data Berkelompok.
Untuk data berkelompok rumus yang digunakan tidak lah jauh berbeda. Berikut adalah varian dan standar deviasi untuk data berkelompok. Pada contoh ini kita akan menghitung variance dan standard deviasi dari data sebaran frekuensi diameter setinggi dada atau DBH. Untuk data berkelompok rumus yang digunakan tidak lah jauh berbeda.
Source: kumparan.com
Kali ini membahas khusus tentang ukuran pemusatan data ukuran letak data dan uk. Cara Menghitung Standar Deviasi Data Berkelompok Untuk data berkelompok rumus yang digunakan tidak lah jauh berbeda. Rumus varian dan standar deviasi data berkelompok tidak jauh berbeda dengan rumus varian dan standar deviasi data tunggal. Berikut adalah varian dan standar deviasi untuk data berkelompok.
Source: rumusbilangan.com
September 30th 2020 - Tag Cara Menghitung Standar Deviasi Data Berkelompok 2020 06 03 2020 06 03 Pengertian Standar deviasi Kegunaan kelebihan contoh cara menghitung Juga disebut simpangan baku standar deviasi adalah angka yang digunakan untuk mengetahui bagaimana pengukuran untuk suatu kelompok tersebar dari nilai rata. A Deviasi Untuk Data Tidak Berkelompok. Cara menghitung standar deviasi data berkelompok menentukan frekuensi interval kelas data berkelompok cara cepat mencari nilai mean data berkelompok contoh soal standar deviasi data berkelompok cara menghitung median modus mode kuartil dan desil simpangan baku rumus cara menghitung dan contoh soal contoh soal deviasi rata rata data berkelompok contoh standar deviasi. Cara Menghitung Standar Deviasi Data Berkelompok Untuk data berkelompok rumus yang digunakan tidak lah jauh berbeda.
Source: id.wikihow.com
CARA MUDAH MENCARI RANGE DEVIASI VARIAN STANDAR DEVIASI DATA. A Deviasi Untuk Data Tidak Berkelompok. Rumus Deviasi untuk data tidak berkelompok adalah sebagai berikut. CARA MUDAH MENCARI RANGE DEVIASI VARIAN STANDAR DEVIASI DATA KELOMPOK DENGAN EXCEL - YouTube.
Simpangan Baku Deviasi Standar Simpangan Rata. Mean-nya 8 17 22 10 13 5 14. Supaya lebih jelas silakan perhatikan rumus di bawah ini. Rumus varian dan standar deviasi data berkelompok tidak jauh berbeda dengan rumus varian dan standar deviasi data tunggal.
Menghitung standar deviasi dengan kalkulator tag cara menghitung varians data berkelompok rumus standar deviasi oleh dosenpendidikan diposting pada 06 06 2020 dalam statistika standar deviasi adalah ukuran yang digunakan untuk mengukur jumlah variasi atau sebaran sejumlah nilai data.
Standar deviasi adalah nilai yang digunakan untuk mengetahui sebaran data dalam sampel yang mana menyajikan hubungan seberapa dekat data individu dengan nilai rata-ratanya. Pengertian Rumus dan Contoh Soal Lengkap P10_penyebaran data simpangan baku standar deviasi Standar Deviasi - Pengertian Rumus dan Contoh Soal Rumus Standar Deviasi dan Contoh Cara Menghitungnya Rumus Standar Deviasi - Cara Menghitung dan Contoh Soal Contoh Soal Standar Deviasi Data Tidak Berkelompok Rumus Standar Deviasi - Cara Menghitung. Rumus Standar Deviasi Data Berkelompok. Rumus Deviasi untuk data tidak berkelompok adalah sebagai berikut. Standar deviasi adalah nilai yang digunakan untuk mengetahui sebaran data dalam sampel yang mana menyajikan hubungan seberapa dekat data individu dengan nilai rata-ratanya.
Source: rumusstatistik.com
CARA MUDAH MENCARI RANGE DEVIASI VARIAN STANDAR DEVIASI DATA KELOMPOK DENGAN EXCEL - YouTube. Rumus varian dan standar deviasi data berkelompok tidak jauh berbeda dengan rumus varian dan standar deviasi data tunggal. Pengertian Rumus dan Contoh Soal Lengkap P10_penyebaran data simpangan baku standar deviasi Standar Deviasi - Pengertian Rumus dan Contoh Soal Rumus Standar Deviasi dan Contoh Cara Menghitungnya Rumus Standar Deviasi - Cara Menghitung dan Contoh Soal Contoh Soal Standar Deviasi Data Tidak Berkelompok Rumus Standar Deviasi - Cara Menghitung. Data berkelompok rumus standar deviasi data berkelompok cara menghitung standar deviasi dengan kalkulator cara menghitung standar deviasi di excel rumus untuk menghitung di excel adalah stdev sebagai gambaran silakan simak contoh di bawah ini. Cara Menghitung Standar Deviasi Data Berkelompok.
Mean-nya 8 17 22 10 13 5 14. Selain dengan cara manual kalian juga bisa memanfaatkan kalkulator untuk menghitungnya. Data berkelompok rumus standar deviasi data berkelompok cara menghitung standar deviasi dengan kalkulator cara menghitung standar deviasi di excel rumus untuk menghitung di excel adalah stdev sebagai gambaran silakan simak contoh di bawah ini. Cara Menghitung Standar Deviasi Berkelompok Selain untuk menghitung data yang bersifat tunggal juga terdapat rumus varian dan standar deviasi.
Rumus Varian Data Berkelompok.
Pengertian Rumus dan Contoh Soal Lengkap P10_penyebaran data simpangan baku standar deviasi Standar Deviasi - Pengertian Rumus dan Contoh Soal Rumus Standar Deviasi dan Contoh Cara Menghitungnya Rumus Standar Deviasi - Cara Menghitung dan Contoh Soal Contoh Soal Standar Deviasi Data Tidak Berkelompok Rumus Standar Deviasi - Cara Menghitung. Video Tutorial Imath Tutorial ini memberikan materi tentang Statistika. Dengan demikian rata-rata selisih data-data itu terhadap mean tanpa diabaikan tanda positif dan negatifnya sebagai berikut. Video ini membahas Cara Menghitung Varians dan Standar Deviasi Data berkelompok Menggunakan EXCEL Materi Statistika Bisnis Jurusan Akuntansi PNB.
Source: youtube.com
Cara Menghitung Standar Deviasi Data Berkelompok Untuk data berkelompok rumus yang digunakan tidak lah jauh berbeda. Data berkelompok rumus standar deviasi data berkelompok cara menghitung standar deviasi dengan kalkulator cara menghitung standar deviasi di excel rumus untuk menghitung di excel adalah stdev sebagai gambaran silakan simak contoh di bawah ini. Supaya lebih jelas silakan perhatikan rumus di bawah ini. Cara Menghitung Standar Deviasi Berkelompok Selain untuk menghitung data yang bersifat tunggal juga terdapat rumus varian dan standar deviasi.
Source: singes.info
Rumus Varian Data Berkelompok. Cara Menghitung Standar Deviasi Data Berkelompok Cara menghitung Median Modus Mode Kuartil dan Desil January 5th 2021 - Cara menghitung Jangkauan range Rata rata Simpangan Simpangan Baku standar deviasi dan Variansi 19 October 2015 Rumus Standard Deviasi dan Cara Menghitung di. Rumus Varian beginaligned s2 frac1n-1sum_i1kf_ileft x_i-bar x right 2 fracdisplaystyle sum_. Deviasicara menghitung variasi wikihow may 13th 2018 - varians yang rendah menandakan data yang berkelompok dekat satu cara menghitung nilai ini biasanya dipakai sebagai dasar untuk menghitung standar deviasi.
Source: kumparan.com
8 17 22 10 13. 8 17 22 10 13. Standar Deviasi dan Varians - ppt download Tutorial Cara Mudah dan Cepat Menentukan dan Menghitung Simpangan. Standar deviasi adalah nilai yang digunakan untuk mengetahui sebaran data dalam sampel yang mana menyajikan hubungan seberapa dekat data individu dengan nilai rata-ratanya.
8 17 22 10 13.
Standar deviasi adalah sebuah nilai statistik yang digunakan untuk menentukan sebuah sebaran data dalam suatu sampel serta seberapa dekat titik data individu ke mean atau rata rata nilai sampelnya. Untuk data berkelompok rumus yang digunakan tidak lah jauh berbeda. September 30th 2020 - Tag Cara Menghitung Standar Deviasi Data Berkelompok 2020 06 03 2020 06 03 Pengertian Standar deviasi Kegunaan kelebihan contoh cara menghitung Juga disebut simpangan baku standar deviasi adalah angka yang digunakan untuk mengetahui bagaimana pengukuran untuk suatu kelompok tersebar dari nilai rata. Cara Menghitung Standar Deviasi Berkelompok Selain untuk menghitung data yang bersifat tunggal juga terdapat rumus varian dan standar deviasi. Simpangan Baku Deviasi Standar Simpangan Rata.
Source: slideshare.net
Video Tutorial Imath Tutorial ini memberikan materi tentang Statistika. Supaya lebih jelas silakan perhatikan rumus di bawah ini. CARA MUDAH MENCARI RANGE DEVIASI VARIAN STANDAR DEVIASI DATA KELOMPOK DENGAN EXCEL - YouTube. Deviasicara menghitung variasi wikihow may 13th 2018 - varians yang rendah menandakan data yang berkelompok dekat satu cara menghitung nilai ini biasanya dipakai sebagai dasar untuk menghitung standar deviasi. Dengan demikian rata-rata selisih data-data itu terhadap mean tanpa diabaikan tanda positif dan negatifnya sebagai berikut.
Cara Menghitung Standar Deviasi Data Berkelompok Untuk data berkelompok rumus yang digunakan tidak lah jauh berbeda.
Supaya lebih jelas silakan perhatikan rumus di bawah ini. Simpangan Baku Deviasi Standar Simpangan Rata. Untuk data berkelompok rumus yang digunakan tidak lah jauh berbeda. Rumus Varian Data Berkelompok.
Source: id.pinterest.com
Rumus Varian beginaligned s2 frac1n-1sum_i1kf_ileft x_i-bar x right 2 fracdisplaystyle sum_. Kali ini membahas khusus tentang ukuran pemusatan data ukuran letak data dan uk. Video Tutorial Imath Tutorial ini memberikan materi tentang Statistika. Rumus Varian beginaligned s2 frac1n-1sum_i1kf_ileft x_i-bar x right 2 fracdisplaystyle sum_.
Source: ruangguru.com
Selain dengan cara manual kalian juga bisa memanfaatkan kalkulator untuk menghitungnya. Rumus varian dan standar deviasi data berkelompok tidak jauh berbeda dengan rumus varian dan standar deviasi data tunggal. Video Tutorial Imath Tutorial ini memberikan materi tentang Statistika. Kali ini membahas khusus tentang ukuran pemusatan data ukuran letak data dan uk.
Source: asaljeplak.com
Rumus varian dan standar deviasi data berkelompok tidak jauh berbeda dengan rumus varian dan standar deviasi data tunggal. Untuk data berkelompok rumus yang digunakan tidak lah jauh berbeda. Cara Menghitung Standar Deviasi Data Berkelompok. Data berkelompok rumus standar deviasi data berkelompok cara menghitung standar deviasi dengan kalkulator cara menghitung standar deviasi di excel rumus untuk menghitung di excel adalah stdev sebagai gambaran silakan simak contoh di bawah ini.
Mean-nya 8 17 22 10 13 5 14.
Deviasicara menghitung variasi wikihow may 13th 2018 - varians yang rendah menandakan data yang berkelompok dekat satu cara menghitung nilai ini biasanya dipakai sebagai dasar untuk menghitung standar deviasi. Rumus varian dan standar deviasi data berkelompok tidak jauh berbeda dengan rumus varian dan standar deviasi data tunggal. Simpangan Baku Deviasi Standar Simpangan Rata. Standar deviasi adalah nilai yang digunakan untuk mengetahui sebaran data dalam sampel yang mana menyajikan hubungan seberapa dekat data individu dengan nilai rata-ratanya. September 30th 2020 - Tag Cara Menghitung Standar Deviasi Data Berkelompok 2020 06 03 2020 06 03 Pengertian Standar deviasi Kegunaan kelebihan contoh cara menghitung Juga disebut simpangan baku standar deviasi adalah angka yang digunakan untuk mengetahui bagaimana pengukuran untuk suatu kelompok tersebar dari nilai rata.
Source: id.wikihow.com
Cara Menghitung Standar Deviasi Berkelompok Selain untuk menghitung data yang bersifat tunggal juga terdapat rumus varian dan standar deviasi. Pada contoh ini kita akan menghitung variance dan standard deviasi dari data sebaran frekuensi diameter setinggi dada atau DBH. Rumus Standar Deviasi Data Berkelompok. Rumus Deviasi untuk data tidak berkelompok adalah sebagai berikut. Cara Menghitung Standar Deviasi Data Berkelompok.
CARA MUDAH MENCARI RANGE DEVIASI VARIAN STANDAR DEVIASI DATA KELOMPOK DENGAN EXCEL - YouTube.
Lalu dari kumpulan data 0 menandakan bahwa. Berikut adalah varian dan standar deviasi untuk data berkelompok. Dengan demikian rata-rata selisih data-data itu terhadap mean tanpa diabaikan tanda positif dan negatifnya sebagai berikut. September 30th 2020 - Tag Cara Menghitung Standar Deviasi Data Berkelompok 2020 06 03 2020 06 03 Pengertian Standar deviasi Kegunaan kelebihan contoh cara menghitung Juga disebut simpangan baku standar deviasi adalah angka yang digunakan untuk mengetahui bagaimana pengukuran untuk suatu kelompok tersebar dari nilai rata.
Source: slideshare.net
A Deviasi Untuk Data Tidak Berkelompok. Simpangan Baku Deviasi Standar Simpangan Rata-Rata RagamVariansi Jangkauan - YouTube. CARA MUDAH MENCARI RANGE DEVIASI VARIAN STANDAR DEVIASI DATA KELOMPOK DENGAN EXCEL - YouTube. Video Tutorial Imath Tutorial ini memberikan materi tentang Statistika. Dengan demikian rata-rata selisih data-data itu terhadap mean tanpa diabaikan tanda positif dan negatifnya sebagai berikut.
Source: today.line.me
Pengertian Rumus dan Contoh Soal Lengkap P10_penyebaran data simpangan baku standar deviasi Standar Deviasi - Pengertian Rumus dan Contoh Soal Rumus Standar Deviasi dan Contoh Cara Menghitungnya Rumus Standar Deviasi - Cara Menghitung dan Contoh Soal Contoh Soal Standar Deviasi Data Tidak Berkelompok Rumus Standar Deviasi - Cara Menghitung. Video Tutorial Imath Tutorial ini memberikan materi tentang Statistika. Rumus Standar Deviasi Data Berkelompok. Cara menghitung standar deviasi data berkelompok menentukan frekuensi interval kelas data berkelompok cara cepat mencari nilai mean data berkelompok contoh soal standar deviasi data berkelompok cara menghitung median modus mode kuartil dan desil simpangan baku rumus cara menghitung dan contoh soal contoh soal deviasi rata rata data berkelompok contoh standar deviasi. Cara Menghitung Standar Deviasi dengan Kalkulator.
Source: pinterpandai.com
Selain dengan cara manual kalian juga bisa memanfaatkan kalkulator untuk menghitungnya. Menghitung standar deviasi dengan kalkulator tag cara menghitung varians data berkelompok rumus standar deviasi oleh dosenpendidikan diposting pada 06 06 2020 dalam statistika standar deviasi adalah ukuran yang digunakan untuk mengukur jumlah variasi atau sebaran sejumlah nilai data. Rumus Standar Deviasi Data Berkelompok. Video ini membahas Cara Menghitung Varians dan Standar Deviasi Data berkelompok Menggunakan EXCEL Materi Statistika Bisnis Jurusan Akuntansi PNB. Standar deviasi adalah nilai yang digunakan untuk mengetahui sebaran data dalam sampel yang mana menyajikan hubungan seberapa dekat data individu dengan nilai rata-ratanya.
Situs ini adalah komunitas terbuka bagi pengguna untuk membagikan apa yang mereka cari di internet, semua konten atau gambar di situs web ini hanya untuk penggunaan pribadi, sangat dilarang untuk menggunakan artikel ini untuk tujuan komersial, jika Anda adalah penulisnya dan menemukan gambar ini dibagikan tanpa izin Anda, silakan ajukan laporan DMCA kepada Kami.
Jika Anda menemukan situs ini bermanfaat, tolong dukung kami dengan membagikan postingan ini ke akun media sosial seperti Facebook, Instagram dan sebagainya atau bisa juga bookmark halaman blog ini dengan judul cara menghitung standar deviasi data berkelompok dengan menggunakan Ctrl + D untuk perangkat laptop dengan sistem operasi Windows atau Command + D untuk laptop dengan sistem operasi Apple. Jika Anda menggunakan smartphone, Anda juga dapat menggunakan menu laci dari browser yang Anda gunakan. Baik itu sistem operasi Windows, Mac, iOS, atau Android, Anda tetap dapat menandai situs web ini.





